Impactos da Pecuária Leiteira de Precisão na Saúde e no Comportamento Animal
Introdução
Para que a produção de leite se torne rentável, e tenha competitividade frente a outras atividades agropecuárias, é necessário tecnificar as propriedades rurais, ter boa escala de produção e utilizar animais geneticamente superiores.
Entretanto, é fundamental não perder o poder de adaptação, eficiência reprodutiva e resistência às doenças desses animais, já que essas características também estão diretamente associadas à eficiência econômica dos sistemas de produção.
Os programas de melhoramento genético foram eficientes na seleção de animais cada vez mais produtivos. Dessa forma, maximizar o consumo de dietas com alto potencial de fermentação no rúmen se tornou necessário.
Por outro lado, essas “melhorias” nos sistemas de produção, no manejo nutricional e dos animais trouxeram impactos negativos, tais como: aumento nas condições de estresse dos animais e na ocorrência de desordens metabólicas e infecciosas (Fleischer et al., 2001; Grummer et al., 2004; Reist et al., 2003).
Em bovinos leiteiros, a ocorrência de doenças pode reduzir a eficiência produtiva de três formas: por meio da redução da produção de leite, da redução do desempenho reprodutivo e do encurtamento da expectativa de vida devido ao aumento das taxas de descarte (Grohn et al., 2003).
O diagnóstico precoce ou a predição de doenças podem encurtar sua duração, reduzir as taxas de descarte e, consequentemente, minimizar as perdas econômicas. Dessa forma, a identificação precoce de animais doentes é um componente crítico de qualquer sistema de produção, sendo de grande interesse o desenvolvimento de métodos, dispositivos e processos para o monitoramento da saúde dos animais.
Monitoramento da saúde e detecção precoce de doenças
Historicamente, os produtores têm utilizado experiência e avaliações visuais como forma de detecção dos animais que apresentam algum sinal clínico de estresse ou doença, e também de animais mais eficientes. Essa inestimável habilidade nunca poderá ser totalmente substituída ou eliminada; porém, a falta de profissional qualificado e, principalmente, o aumento dos rebanhos têm dificultado esse trabalho (Hamrita et al., 1997).
O exame clínico realizado por um veterinário é a melhor forma de detecção e diagnóstico de doenças; entretanto, esses exames são pouco frequentes na maioria das propriedades leiteiras e muitos casos de doenças podem não ser diagnosticados. Além disso, a realização frequente de exames em grandes rebanhos pode demandar muito tempo e dinheiro (Urton et al., 2005).
No processo de busca pelo aumento da eficiência produtiva, a aplicação do conceito de pecuária de precisão vem se tornado cada vez mais frequente, e tem como base o uso de tecnologias para mensurar, de forma individualizada, indicadores produtivos, fisiológicos e comportamentais dos animais. Algumas tecnologias de precisão já vêm sendo utilizadas em fazendas leiteiras, como o registro diário da produção de leite e do peso vivo, o uso de detectores de estro e sensores para avaliar a condutividade elétrica do leite.
Outras tecnologias de precisão também têm sido propostas para mensurar consumo de alimentos e água, comportamento alimentar, batimento cardíaco, frequência respiratória, temperatura da superfície corporal, pH ruminal, atividade e posição dos animais, entre outros. Diversos trabalhos já demonstraram o potencial da avaliação do comportamento animal como forma de detecção de doenças subclínicas, bem como a detecção precoce de sinais clínicos, o que aumenta a eficácia e reduz os custos do tratamento, como também contribui com o bem-estar dos animais (Gonzales et al., 2008; Azizi, 2008; Huzzey et al., 2007; Urton et al., 2005; Owens et al., 1998).
Avaliação do consumo e comportamento alimentar
Na última década, vários estudos apresentaram evidência de que problemas de saúde em bovinos leiteiros podem ser identificados e preditos por mudanças nos padrões comportamentais, particularmente no comportamento alimentar. As doenças afetam o comportamento alterando-o, em curto ou em longo prazo, sendo esse efeito uma estratégia coordenada do corpo para debelar a infecção, que inclui febre e alterações psicológicas (Borderas, 2009). Entre as alterações no comportamento frente à doença estão a hipofagia, letargia, hiperalgesia, hiper ou hipotermia, redução do aprendizado e da memória, redução nos cuidados com o próprio corpo, redução na exploração física e social do ambiente e mudanças na libido.
Essas mudanças servem para direcionar os esforços para alterações fisiológicas que preservem a vida (Elsasser et al., 2004) e são identificadas por alterações comportamentais que antecedem os sinais clínicos da doença em até quatro dias, frequentemente em até 24 horas antes da mudança de temperatura corporal. Ou seja, os animais quando saudáveis apresentam um padrão de comportamento, e a detecção de alterações nesses padrões comportamentais são indicativos de que algo está errado.
Oliveira Junior (2015) avaliou o efeito da tristeza parasitária sobre o consumo e o comportamento ingestivo de bezerras da raça girolando no período pós desmame (89 a 154 dias de idade). Os 35 animais avaliados foram manejados em piquetes coletivos e tinham livre acesso aos cochos e bebedouros eletrônicos que registravam o comportamento e o consumo de alimento e água, respectivamente.
Os animais diagnosticados com tristeza parasitária apresentaram durante todo o período experimental uma redução de consumo de alimento (2,2 vs. 2,6kg/dia) e redução de consumo de água (11,8 vs. 10,4L/dia). Quando avaliado em relação ao dia do diagnóstico, o consumo de alimento foi inferior para os animais doentes nos dias -1, 0 e +1, e o comportamento ingestivo, determinado pelo número de visitas ao cocho com ingestão, foi inferior para os animais doentes a partir do dia -1 até o dia +4 (Fig. 1). Os equipamentos eletrônicos se mostraram eficientes na detecção precoce de tristeza parasitária em bezerras leiteiras.

Azizi (2008) avaliou o consumo, o comportamento ingestivo e a produção de leite de vacas da raça Holandês do 7° ao 105° dia de lactação. Para a avaliação do comportamento e do consumo, foram utilizados cochos eletrônicos que identificam eletronicamente os animais e registram seu consumo em cada evento gerado no equipamento.
Os animais diagnosticados com sinais clínicos de desordens metabólicas (febre do leite, cetose, retenção de placenta e deslocamento de abomaso) apresentaram até o 21° dia de lactação menor tempo de ingestão (210,78 vs. 236,80min/dia), menor consumo de matéria seca (16,9 vs. 19,98kg/dia), menor produção de leite (36,84 vs. 41,31kg/dia) e menor taxa de ingestão (86,08 vs. 92,85gMS/min) quando comparados com os animais normais (Tab. 1).

Os animais que apresentaram alteração nos parâmetros sanguíneos (aumento de ácido graxo não esterificado, β-hidroxibutirato e aspartato amino transferase sem, porém, apresentar sinais clínicos) apresentaram menor tempo de ingestão (menos 43,59min/dia na 2° semana de lactação e menos 39,42min/dia na 3° semana de lactação) e menor consumo de matéria (menos 1,94kg/dia na 2° semana de lactação e menos 2,83kg/dia na 3° semana de lactação) (Tab. 2).

O consumo e o comportamento foram eficientes para detecção de animais com sinais clínicos e subclínicos no período pós-parto; já os dados de produção de leite não permitiram a detecção de animais com sinais subclínicos a partir da 3ª semana de lactação.
Dollinger e Kaufmann (2012) avaliaram a influência de patologias clínicas e subclínicas sobre o consumo e comportamento ingestivo de 138 vacas leiteiras do 28° ao 56° dia pós-parto. Do total de animais avaliados, 15 vacas foram consideradas saudáveis e seus dados foram utilizados para se determinar parâmetros ideais para o rebanho. As demais 123 vacas apresentaram sinais clínicos de distúrbios metabólicos ou foram diagnosticadas com patologia subclínica a partir da avaliação de amostras de sangue e urina (Tab. 3).

Apesar de não ter sido observada diferença significativa no consumo, os animais saudáveis (grupo referência) apresentaram um menor tempo de ingestão diária de alimentos (177,8 vs 189,4min.); porém, a taxa de ingestão foi maior (228,91 vs 221,22g de MN por min.) que a apresentada pelos animais doentes (clínico ou subclínico).
Os animais doentes, para conseguirem atingir o mesmo consumo, precisaram visitar os cochos mais vezes por refeição (3,5 vs. 3,3), além de apresentarem um maior número de refeições por dia (6,9 vs. 6,2) em comparação ao grupo referência. De acordo com os dados apresentados, os animais doentes ou com alterações subclínicas tendem a evitar interações agressivas e são facilmente afastadas dos cochos pelas vacas saudáveis e/ou dominantes.
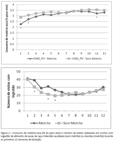
Vargas (2015) avaliou o efeito da metrite em vacas leiteiras da raça Holandês no período pós-parto. Os animais foram monitorados por cochos e bebedouros eletrônicos e plataforma de pesagem voluntária do parto até a 12° semana pós-parto. Os animais diagnosticados com metrite apresentaram menor peso vivo voluntário (598,12 vs. 624,38kg), menor produção de leite (29,79 vs. 31,21kg/dia), menor consumo de alimento (18,65 vs. 20,65kg de MS/dia) e menor consumo de água (75,74 vs. 87,38L/dia).
O consumo de matéria seca (% peso vivo) foi inferior para os animais com metrite nas semanas 1, 2 e 11 pós-parto; porém, após o tratamento, os animais doentes reestabeleceram o consumo em relação aos animais saudáveis; já o número de visitas aos cochos eletrônicos com ingestão foi maior para os animais doentes nas semanas 2, 4 e 5 pós-parto (Fig. 2). O menor número de ingestão pode ser justificado pelo maior deslocamento das vacas doentes do cocho pelas vacas saudáveis.

Também associando o comportamento ingestivo com quadros de metrite, Hammon et al. (2006) relataram menor consumo de matéria seca (4,4kg a menos) nas duas semanas anteriores ao parto em vacas que desenvolveram metrite puerperal, em comparação com animais sadios (Fig. 3). O menor consumo das vacas com metrite também foi observado até a 5ª semana pós-parto (2,27 a 3,64kg de matéria seca a menos que as vacas sadias).

A produção média diária de leite foi 8,3kg/d menor nas vacas com metrite grave e 5,7kg/d menor nas vacas com metrite leve, em relação a vacas que se mantiveram sadias até os 21 dias após o parto. Esse trabalho fornece claras evidências de que a redução do tempo despendido na alimentação e a ingestão de matéria seca (IMS) durante o período que antecede o parto aumentam o risco de ocorrência de metrite pós-parto em vacas.
Entretanto, não se sabe se a redução da IMS e do tempo despendido na alimentação são a causa da metrite ou um efeito de alguma outra alteração ocorrida no período pré-parto. As vacas que desenvolveram metrite pós-parto também se envolveram em menor número de interações agressivas no cocho durante a semana anterior ao parto e evitaram o cocho durante os períodos de maior competição por alimento.
Essa mesma alteração na disputa por espaço no cocho foi observada por DeVries e von Keyserlingk (2005). Em um estudo realizado por esses autores, observou-se que, durante a semana que antecede o parto, as vacas que evoluem para metrite grave são deslocadas do cocho com mais frequência do que as vacas que permanecem sadias.
Além disso, durante o período que antecede o parto, as vacas que adoecem posteriormente passam menos tempo comendo e consomem menos matéria seca durante os períodos de maior motivação para buscar alimento, isto é, logo após o trato, quando a palatabilidade e a qualidade estão no auge. As vacas que evoluem posteriormente para metrite grave apresentam baixa motivação para competir pelo acesso ao alimento nesses momentos de maior disputa, indicando que, socialmente, representam os indivíduos subordinados do grupo.
Registro de atividade e tempo de descanso
Existem evidências de que as alterações fisiológicas e comportamentais das vacas, que ocorrem durante a fase de transição, podem aumentar o risco de claudicação, mais tarde, durante a lactação (Knott et al., 2007; Cook e Nordlund, 2009; Proudfoot et al., 2010). Muitos casos graves de claudicação são causados por problemas no tecido córneo da unha, que levam de oito a doze semanas para se desenvolver, como, por exemplo, as úlceras de sola e lesões na linha branca.
Portanto, é provável que uma úlcera de sola, diagnosticada 12 semanas após o parto, tenha começado a se desenvolver ou tenha sido provocada durante o período de transição. A alta incidência de claudicação após o parto ilustra a necessidade de dar atenção ao período de transição, a fim de prevenir doenças infecciosas e metabólicas logo após o parto e também casos de claudicação alguns meses mais tarde. A identificação precoce dessas situações de risco possibilitará correções no manejo em tempo hábil, evitando assim grandes prejuízos econômicos.
Proudfoot et al. (2010) avaliaram o comportamento e a atividade de vacas durante o período de transição (duas semanas anteriores e as três semanas posteriores ao parto) e correlacionaram os dados com lesões podais. Dispositivos para registro de atividade foram fixados aos membros posteriores das vacas para aferir o tempo de permanência em estação. As vacas foram então classificadas mensalmente, quanto à saúde dos cascos, até as 15 semanas de lactação. Treze vacas desenvolveram úlceras de sola ou hemorragias graves de sola entre sete e quinze semanas após o parto.
O tempo de permanência em estação dessas vacas durante a fase de transição foi comparado com o de 13 vacas sadias. As vacas que apresentaram claudicação após o parto ficaram em pé por mais tempo no período pré-parto (839 vs. 711min/d) e no período pós-parto precoce (935 vs. 693min/d) do que as vacas sadias. Outra importante diferença na atividade dos animais doentes foi o maior tempo passado com apoio incompleto na baia (241 vs. 147min/d), isto é, com os dois cascos anteriores na baia e os dois posteriores no corredor.
Com relação ao comportamento ingestivo, as vacas com lesões de casco apresentaram uma taxa de consumo maior do que das vacas sadias durante as duas semanas pré-parto (86 vs. 77g MS/min) e durante as 24 horas pós-parto (17,9 vs. 12,3g MS/dia). Apesar de os dados desse trabalho não serem conclusivos quanto à relação da maior taxa de consumo com o aumento da incidência de acidose e das lesões de casco, alguns pesquisadores já demostraram que vacas com uma alta ingestão após o parto podem apresentar uma diminuição exacerbada do pH ruminal e predispor quadros de laminite (Fairfield et al., 2007).
Os resultados indicam que a combinação do comportamento ingestivo associado ao registro de atividade (deitada ou em pé na instalação) das vacas no período de transição pode ser utilizada como ferramenta de detecção de animais com lesão de casco no terço médio da lactação.
Registro de ruminação e consumo
Ruminação é um processo cíclico caracterizado por regurgitação do alimento armazenado no rúmen e mastigação e ingestão do material regurgitado. Sua principal função é facilitar a fermentação dos alimentos, reduzir o tamanho da partícula, promover o esvaziamento do rúmen e, consequentemente, aumentar o consumo e melhorar o ambiente ruminal a partir da salivação.
Pode ser afetada pelas características da dieta e pelo manejo, em particular pela digestibilidade dos alimentos, teor de FDN, qualidade da forragem, proporção de volumoso e concentrado, tamanho das partículas (Welch e Smith, 1970). O tempo de ruminação (TR) pode ser reduzido em casos de estresse agudo, ansiedade e doenças (Herskin et al., 2004; Bristow e Holmes, 2007; Hansen et al., 2003).
Soriani et al. (2012) monitoraram o tempo de ruminação (TR) de vacas durante o período de transição e correlacionaram essas informações com a produção de leite, metabólitos sanguíneos e o estado de saúde dos animais. Os parâmetros de ruminação próximos ao parto, em particular os valores durante os últimos dias de gestação e os primeiros 10 dias de lactação, estão relacionados com a incidência de patologias clínicas durante o primeiro mês de lactação.
Animais que apresentaram baixo TR durante o pré-parto (420min./dia) mantiveram baixo TR após o parto, e nesse grupo foi observada uma maior incidência de patologias clínicas. No grupo de vacas com baixo TR, foram diagnosticados 03 animais com mastite, 01 com retenção de placenta, 02 com metrite, 01 com cetose, 01 com deslocamento de abomaso e 02 com claudicação.
Por outro lado, uma menor incidência de doenças clínicas foi observada para vacas que apresentaram TR médio (491min./dia) (01 com retenção de placenta e 01 com metrite) e para as vacas que apresentaram TR longo (556min./dia) (01 com mastite). Os resultados apontaram também que as vacas com menor TR antes do parto apresentaram maior concentração plasmática de β-hidroxibutirato após o parto, estando este diretamente relacionado com o grau de mobilização corporal no período de transição.
DeVries et al. (2009) induziram acidose subaguda em vacas leiteiras e observaram uma redução no tempo de ruminação durante todo o período experimental para os animais que receberam a dieta com maior proporção de concentrado (491 vs. 555min./d) em comparação aos animais que receberam uma dieta menos desafiadora.
Comparado com o grupo controle (que receberam a dieta “segura”), no primeiro dia após o “desafio”, os animais que receberam a dieta com mais concentrado apresentaram aumento no tempo de consumo (395 versus 310min./d), ao passo que o tempo em descanso/deitado reduziu (565 versus 634min./d). Para esse mesmo grupo de animais, o tempo de ruminação diminuiu no primeiro dia após o desafio (436min./d) em relação ao grupo controle (533min./d); porém, esse tempo aumentou no dia seguinte (572min./d).
Monitoramento do comportamento animal para aumento da eficiência
O comportamento da vaca em 24 horas é um reflexo da sua resposta ao ambiente em que está sendo manejada. A ocorrência de desvios no comportamento do animal em relação à sua rotina normal pode servir de base para avaliar seu status de saúde, de bem-estar e produtivo, auxiliando a adequação de estratégias de manejo para otimizar a eficiência do sistema. A Tabela 4 apresenta um modelo simplificado do padrão de comportamento de vacas em lactação (Grant e Albright, 2000).

Já Matzke (2003) comparou o comportamento das vacas com maior produção de leite, ranqueadas como “top 10%”, em relação ao comportamento do resto do rebanho (Tab. 5). Como pode ser visto na tabela, vacas mais produtivas precisam de um maior período de descanso, mas essa necessidade não pode comprometer o tempo de ingestão de alimentos e de ruminação.

Na Tabela 6, pode-se observar a potencial associação entre o aumento do tempo de descanso (deitada) e a maior produção de leite (Grant, 2003).

Dos supostos benefícios promovidos pelo aumento do tempo de descanso (deitada), o aumento do consumo de alimentos é responsável por 35% da reposta em produção de leite. Possivelmente, todas as melhorias observadas na rotina da vaca (maior tempo de ruminação e menor desgaste do casco), fruto de um maior tempo de descanso, promoveram também um maior tempo de consumo e, consequentemente, mais nutriente para a produção de leite.
Os parâmetros comportamentais apresentados acima são baseados em sistemas norte-americanos. É necessário estabelecer para os diferentes sistemas de produção nacionais o comportamento-padrão, necessário para que as vacas leiteiras apresentem máxima eficiência produtiva e permaneçam saudáveis durante toda a lactação. A partir da determinação desses índices, será possível monitorar desvios, permitindo a detecção precoce de estresse e doenças, bem como estabelecer melhores estratégias de manejo para esses sistemas.
A incorporação de tecnologias na pecuária leiteira tem sido motivada pela intensificação dos sistemas de produção, crescimento do número de animais nos rebanhos, escassez de mão de obra e aumento dos custos de produção. Essa tendência em direção à pecuária de precisão parece irreversível e representa quebra de paradigmas, já que os dados médios do rebanho são substituídos por dados individuais de todos os animais do sistema na tomada de decisão.
Ou seja, a tecnologia permite o monitoramento individual para que cada animal expresse seu potencial genético, de acordo com as metas econômicas e índices de bem-estar. Com a adequada interpretação fisiológica dos dados registrados de forma automática, esperam-se grandes benefícios para a saúde dos animais e para a rentabilidade das fazendas leiteiras, por meio da definição de melhores estratégias de manejo e seleção de animais mais eficientes.
Considerações Finais
Diversos parâmetros comportamentais podem ser utilizados para detecção precoce de vacas leiteiras doentes. Para tal, é necessário que os animais sejam avaliados individualmente e de forma constante, o que torna possível detectar desvios no comportamento de animais “problemas”;
A utilização de apenas um parâmetro pode permitir a detecção de animais “problema”; porém, será ineficiente no diagnóstico das patologias apresentadas pelos animais. O ideal é realizar uma integração dos sensores eletrônicos e dos parâmetros avaliados.
O avanço tecnológico em diversas áreas tem permitido que novos sensores e equipamentos cheguem à pecuária com custos cada vez mais acessíveis. Entretanto, para que tais tecnologias possam auxiliar a rápida tomada de decisões pelos produtores, os dados registrados precisam ser devidamente interpretados por software e modelos matemáticos.
Se você tem interesse em saber mais sobre a Agricultura de Precisão, te convido a conhecer a plataforma da AgricOnline. Ao fazer a sua assinatura, você tem acesso ilimitado a todos os cursos da plataforma. São cursos que vão desde produção vegetal, produção animal, mercado e carreira.
Ao término de cada curso, você tem direito ao certificado com a carga horária de cada curso, clique no link para conhecer.

Ou clique no link:
https://go.agriconline.com.br/pass/?sck=portal
Fonte
MARQUES, Antônio de Pinho Junior. Zootecnia de Precisão em Bovinocultura de Leite. Belo Horizonte - MG: FEPMVZ, 2015. (Cadernos Técnicos de Veterinária e Zootecnia, 79).