Calagem na Cultura da Soja
A calagem é realizada a partir da interpretação dos resultados da análise química do solo. Na Tabela 1 são apresentados os parâmetros para a interpretação da análise de solo.

A recomendação de calcário depende do poder tampão do solo e do sistema de produção adotado. Além disso, o efeito da calagem também depende da qualidade do calcário (PRNT) e das quantidades aplicadas no solo, da forma de aplicação, entre outros. Estes fatores interferem no efeito residual da calagem e, portanto, a análise química de solo deverá ser realizada periodicamente para a tomada de decisão quanto a necessidade de reaplicação do corretivo.

Calagem no sistema convencional
O cálculo da quantidade de calcário é referente à correção da acidez na camada 0 cm - 20 cm de profundidade, por meio da incorporação do corretivo, e pode ser feito segundo os métodos abaixo:
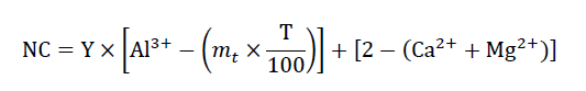
- Neutralização do Al3+ e Fornecimento de Ca2+ e Mg2+ (Alvarez V; Ribeiro, 1999).
Este método é, particularmente, adequado para solos sob vegetação de Cerrados e, em especial, aqueles de baixa CTC nos quais ambos os efeitos são importantes.
No cálculo da necessidade de calagem (NC), além das características relacionadas ao poder tampão do solo (Y) e as exigências da cultura, como a saturação por Al3+ tolerada (mt) e a necessidade mínima de Ca2+ + Mg2+
A expressão para cálculo da NC, em t/ha, é:

onde:
Al3+ = alumínio trocável (cmolc/dm3)
mt = saturação por alumínio tolerada pela cultura e/ou sistema de produção;
T = capacidade de troca de cátions efetiva do solo, em cmolc dm-3
Ca2+ = cálcio trocável (cmolc/dm3)
Mg2+ = magnésio trocável (cmolc/dm3)
O valor de Y pode ser calculado em função do teor de argila ou do fósforo remanescente (P-rem) e estão apresentados na Tabela 2.

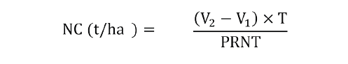
- Saturação por bases do solo
Este método consiste na elevação da saturação por bases trocáveis e se fundamenta na correlação positiva existente entre o valor de pH e a saturação por bases.
O cálculo da necessidade de calagem (NC) é feito por meio da fórmula:

onde:
V2 = valor da saturação por bases esperada (%);
V1 = valor da saturação por bases do solo antes da correção (%);
, sendo, SB = Ca2+ + Mg2+ + K+ (cmolc/dm3);
T = Capacidade de Troca de Cátions (cmolc/dm3);
T = SB + H+Al (cmolc/dm3);
PRNT = Poder Relativo de Neutralização Total do corretivo (%).
Em função das características químicas e físicas dos solos predominantes no País, tem-se uma variação no valor adequado de saturação por bases (V2), que determinará o maior rendimento econômico. Nas áreas tradicionais de cultivo de soja no estado do Paraná e para o estado de São Paulo utiliza-se V2 igual a 70% e para o estado de Mato Grosso do Sul, o V2 é de 60%. Nos demais estados da região central do Brasil, com predominância de solos formados sob vegetação de Cerrados e ricos em óxidos de Fe e de Al (Sousa; Lobato, 2004), o valor que satisfaz a maioria das culturas de sequeiro é de 50%.

Calagem no sistema plantio direto (SPD)
Antes de iniciar o SPD, é fundamental corrigir a acidez do solo na camada 0 cm – 20 cm, com incorporação do calcário. Em função dos processos de acidificação do solo, é necessário realizar o monitoramento periódico da acidez do solo.
Para solos com histórico de aplicação de calcário em superfície, a amostragem do solo deve ser realizada de 0 cm – 10 cm e de 10 cm – 20 cm de profundidade. O cálculo da NC deve ser feito com os valores médios das duas profundidades. Recomenda-se utilizar as mesmas fórmulas de cálculo do item anterior.
A dose recomendada de calcário pode ser aplicada de forma parcelada ou total, dependendo das quantidades, do custo e da logística da região.
Qualidade e uso do calcário
Para que a calagem atinja os objetivos de neutralização do alumínio trocável e/ou de elevação dos teores de cálcio e magnésio, algumas condições básicas devem ser observadas:
- o calcário deverá passar 100% em peneira com malha de 2 mm;
- o calcário deverá apresentar teores de CaO + MgO > 38%;
- a escolha do calcário deve levar em consideração os teores trocáveis de cálcio e magnésio e também a relação Ca/Mg do solo (Tabela 1), devendo-se dar preferência ao calcário com pelo menos 12% de MgO, em solos que contenham teores baixos ou médios de Mg2+, ou ainda, quando a relação Ca/Mg é elevada.
- a distribuição desuniforme pode aumentar a variabilidade espacial dos atributos relacionados à acidez do solo e causar ou agravar desequilíbrios nutricionais.
Se você tem interesse em saber mais sobre a Cultura da Soja, te convido a conhecer a plataforma da AgricOnline. Ao fazer a sua assinatura, você tem acesso ilimitado a todos os cursos da plataforma. São cursos que vão desde produção vegetal, produção animal, mercado e carreira.
Ao término de cada curso, você tem direito ao certificado com a carga horária de cada curso, clique no link para conhecer.

Ou clique no link:
https://go.agriconline.com.br/pass/?sck=portal
Fonte
SEIXAS, Claudine Dinali Santos; NEUMAIER, Norman; BALBINOT, Alvadi Antonio Junior; KRZYZANOWSKI, Francisco Carlos; LEITE, Regina Maria Villas Bôas de Campos. Tecnologias de Produção de Soja. Londrina - PR: Embrapa Soja, 2020.