Geoestatística Aplicada a Agricultura de Precisão
1. Introdução
Os fundamentos da agricultura de precisão se baseiam na aplicação de tecnologias de maneira localizada de acordo com a variabilidade espacial.
A ferramenta de análise geoestatística se constitui na maneira mais correta que se tem conhecimento para analisar a variabilidade espacial (VIEIRA, 2000). Há necessidade absoluta de conhecimento adequado da variabilidade espacial das características do ambiente agrícola, sem o qual existe o risco de aplicações inapropriadas dos resultados.
Entre as aplicações da geoestatística voltadas para prover informações em suporte da agricultura estão a caracterização e a modelagem espacial e temporal, das quais resultam a produção de mapas precisos para bases de informação da área de produção (McBRATNEY et al., 2005).
Diretamente relacionada com a geoestatística a agricultura de precisão utiliza novas tecnologias desenvolvidas para o monitoramento intensivo do campo. Isto envolve a adoção de diferentes sensores voltados para captação de dados que permitem quantificar os principais fatores de produção com alta precisão espacial (WHELAN, 1998).
Apesar dos procedimentos da análise geoestatística não diferirem conceitualmente nos procedimentos para aplicações de diversos fins, na Agricultura de Precisão a disponibilidade de dados em alta resolução espacial e temporal viabiliza não só uma maior robustez nos resultados, como também o entendimento integrado e dinâmico das correlações espaciais e temporais entre os diferentes fatores.
Segundo Molin (2012) para se praticar adequadamente agricultura de precisão é necessário aceitar o fato e assumir o desafio de que a variabilidade espacial das lavouras é algo mais complexo do que mapear e intervir em P, K, Ca e Mg ou seja, podem existir muito outros fatores que podem influenciar na variabilidade espacial de colheitas.
Desta maneira, através da geoestatística avalia-se a dependência espacial e a utiliza para interpolar valores para locais não medidos, e com isto se produz informações para construir mapas contínuos a partir da amostragem discretizada e para estruturar amostragens em função da variabilidade espacial.
Em agricultura de precisão, a possibilidade de gerar mapas relacionados a produtividade agrícola utilizando a geoestatística, constitui um avanço no manejo localizado, segundo Tisseyre e MacBratney (2007), dos sistemas de produção agrícolas e uma maior precisão na tomada de decisão.
Este capítulo tem como objetivo apresentar de forma básica o que é Geoestatística e como ela pode ser usada adequadamente na agricultura de precisão.
Para isso são abordados temas para aplicação de geoestatística quanto: a conceituação da geoestatística; as particularidades de obtenção de dados em agricultura de precisão; a importância dos semivariogramas e de seus ajustes; a interpolação de dados por krigagem e a geração de mapas.
2. A Geoestatística
A geoestatística surgiu na África do Sul, quando Krige (1951) trabalhando com dados de concentração de ouro, verificou que para encontrar sentido nas variâncias em estudo era preciso levar em conta as distâncias entre as amostras, e assim surgiu o conceito da geoestatística ou teoria das variáveis regionalizadas, que leva em consideração a localização geográfica e a dependência espacial.
Em mineração há locais com maior e menor concentração dos minerais. Matheron (1965) colocou esta ideia em termos matemáticos e desenvolveu a geoestatística. Geoestatística é um ramo da estatística que utiliza conceito de variáveis regionalizadas na avaliação de variabilidade espacial.
Não se limita apenas em obter um modelo de dependência espacial, pretende também estimar valores de pontos nos locais onde não foram coletados (SRIVASTAVA, 1996; GOOVAERTS, 1997). Destaca-se os passos de cálculo da semivariância, construção ajuste do semivariograma e a interpolação por krigagem.
Com a geoestatística pode-se estimar o valor de uma dada propriedade para um local onde não foi medida, utilizando uma função de correlação espacial entre os dados sem viés e com variância mínima (VIEIRA, 2000). Para estimar esses valores, comumente se usa o método de interpolação por krigagem, cujo nome foi dado em homenagem a Daniel G. Krige.
Krigagem consiste em ponderar os vizinhos mais próximos do ponto a ser estimado, obedecendo os critérios de não tendenciosidade, que significa que em média a diferença entre valores estimados e observados para o mesmo ponto dever ser nula e ter mínima variância, ou seja, que os estimadores possuam a menor variância dentre todos os estimadores não tendenciosos.
Fazendo uma comparação entre a estatística clássica e a geoestatística, podemos dizer que a primeira necessita da normalidade e independência espacial entre os dados enquanto que a geoestatística requer a autocorrelação a espacial.
A estatística clássica assume que os pontos de observação são independentes, o que, na maioria dos casos, não acontece nos estudos envolvendo as ciências da terra (SRIVASTAVA, 1996).
Com a análise geoestatística é possível organizar os dados disponíveis espacialmente de acordo com a semelhança entre vizinhos georreferenciados.
A geoestatística, bastante consolidada em estudos de solos, independentemente do tamanho da área amostrada (WARRICK; NIELSEN, 1980; GOOVAERTS, 1997; GREGO; VIEIRA, 2005), tem potencial para diversas outras aplicações envolvendo ciências da terra e do ambiente (SOARES, 2006).
Portanto, segundo Molin (2002) traz grande contribuição para a agricultura de precisão principalmente na definição de unidades de manejo a partir de mapas de produtividade.
3. Obtenção de dados em agricultura de precisão
Na agricultura de precisão novas tendências na análise de dados priorizam o desenvolvimento de modelos que levam em consideração a variabilidade espacial, evitando assim os efeitos de suavização geralmente resultantes dos procedimentos de interpolação.
Um ponto positivo a ser observado nesta abordagem que os modelos de geração de mapas baseiam-se na ideia de analisar e dimensionar a variação dos fatores de produção utilizando os valores observados, desta forma, combinados com a evolução e a proliferação de sensores (OLIVEIRA, 2009).
Com a utilização dos sensores, é possível gerar informações em tempo real, de forma complementar às tecnologias de campo que visam a automação da aplicação de insumos por taxas variadas (“on the go”).
Consequentemente, algoritmos utilizando parâmetros de dependência espacial para o suporte à decisão agronômica contemplam meios de facilitar uma interpretação integrada dos dados, onde as informações geradas a partir de dados de múltiplos sensores podem ser sintetizadas por índices numéricos de referência, simplificando o acesso e o entendimento das causas e implicações da variabilidade espaço temporal de forma a maximizar os benefícios econômicos, ambientais e sociais obtidos na gestão do agronegócio (McCOWN; BRENNAN; PARTON, 2006).
Oportunamente, estas questões dependem também de um conhecimento agronômico incremental na geração de novos métodos de análise. Isto porque, a disponibilidade de uma massiva quantidade de observações das diferentes variáveis de produção possibilita uma visão mais detalhada das relações espaciais e temporais dos processos agronômicos, demandando uma revisão de conceitos agronômicos desenvolvidos a partir de observações discretizadas por grades amostrais que são, muitas vezes, mais esparsas do que a escala de variação inerente ao atributo sendo observado.
Um fator primordial para aplicação da geoestatística que a agricultura de precisão contempla é a obtenção de dados com as correspondentes coordenadas geográficas. Os dados georreferenciados podem ser obtidos por meio de coleta in loco, mapas temáticos, imagens de satélite ou fotografias aéreas.
Deve-se analisar e planejar o número de coletas de dados, principalmente através do custo/benefício, pois um grande número de pontos amostrais aumenta o custo da operação e pode inviabilizar a implantação do processo (BOLFE; GOMES, 2005).
Apesar disso as amostragens devem ser suficientemente próximas para conseguir caracterizar as possíveis manchas de variabilidade, sendo assim, dados auxiliares, informações históricas da área podem ajudar a determinar este número adequado de amostras, segundo Vieira, Xavier e Grego (2008).
Se houverem imagens de satélite ou fotografias aéreas com as quais se possa identificar regiões com diferentes níveis de verde, é possível direcionar as amostragens, concentrando-se nas regiões onde exista maior variabilidade e diminuindo-se a densidade nos locais mais uniformes.
Em adição aos sensores remotos, orbitais e suborbitais, já amplamente difundidos em suas aplicações, novos sensores proximais podem também gerar uma grande quantidade de observações em alta resolução espacial.
Estes normalmente realizam medições por contato direto com o solo e a planta, ou em distâncias de até 3 metros em relação ao terreno, dependendo do tipo de sensor. A frequência de leitura é sincronizada com a atualização de coordenadas do GPS (a cada segundo), tendo consequentemente, o número total de observações por área como função da velocidade de operação dos implementos agrícolas.
Desta forma, viabilizando uma leitura quase continua dos dados observados e promovendo uma alta densidade amostral, ou seja, em alta resolução espacial. A maior disponibilidade de dados observados favorece a representatividade da autocorreção espacial dos atributos de produção em diferentes escalas.
Os tipos de sensores proximais mais utilizados e as diferentes tecnologias utilizadas para viabilizar estes sensores são:
a) sensores de posicionamento de campo que permitem a localização precisa dentro do talhão (latitude e longitude) e a medição de valores altimétricos que possibilitam o cálculo de atributos topográficos (e.g. declividade, aspecto, tamanho da pendente, área de contribuição e índice de encharcamento). São os sensores de posicionamento como GPS, DGPS e RTK;
b) sensores de produtividade que permitem quantificar parâmetros da produção em função da área colhida (e.g. massa, umidade, conteúdo de açúcar, óleo e proteínas). São os sensores de produtividade por fluxo ou por impacto;
c) sensores das propriedades de solo que quantificam atributos como o conteúdo de matéria orgânica, pH, capacidade de troca catiônica, textura, umidade, nutrientes e contaminações. Incluem equipamentos como espectrômetros de infravermelho, condutivímetros elétricos por contato (Veris - Figura 1a) ou indução eletromagnética (EMI) e penetrômetros eletrônicos;

d) sensores de cultivo que indicam o grau de desenvolvimento das plantas (e.g teor de nitrogênio e clorofilômetros). São os sensores ópticos de cultivo por infravermelho, laser e radares. Destaca-se na Figura 1b o sensor óptico ativo terrestre Crop Circle, que trabalha com dois comprimentos de onda sendo possível calcular o índice de vegetação por diferença normalizada (NDVI) e o índice de clorofila.
Como resultado da disponibilidade de dados em alta resolução pode-se observar uma maior precisão nos cálculos, sendo que o próprio mapa com os valores amostrados indica onde deve ocorrer a estrutura de dependência espacial, apresentando os locais de maiores e menores valores.
Neste sentido, pode-se facilmente constatar que as observações coletadas pelos sensores na agricultura de precisão atendem aos requisitos mínimos para a análise geoestatística, como no exemplo da Figura 2.

A análise exploratória dos dados antes de serem submetidos à análise geoestatística, é de suma importância e tem o objetivo de identificar previamente os dados discrepantes, a normalidade de distribuição de frequência e a variação nos dados.
Muitas vezes os valores discrepantes ocorrem por problemas de erro de amostragem, mau contato do sensor utilizado para a medida, análise laboratorial ou simplesmente erro de digitação. O exemplo da análise da estatística descritiva dos dados de condutividade elétrica do solo pode ser conferido na Figura 3.

Em agricultura de precisão também são utilizados dados oriundos dos Sistemas de Informações Geográficas (SIG) que são conjuntos manuais ou computacionais de procedimentos desenvolvidos para trabalhar com dados referenciados por coordenadas geográficas ou espaciais (STAR; ESTES, 1990).
Os SIGs consistem em sistemas de suporte à decisão, integrando dados referenciados espacialmente em um ambiente de respostas a problemas (CÂMARA; MEDEIROS, 1996) e que podem ser trabalhados com ferramentas da geoestatística (VIEIRA; NIELSEN; BIGGAR, 1981).
Os SIGs realizam funções de análises espaciais baseados nos atributos das entidades gráficas armazenadas na base de dados e a partir de módulos específicos, geram um conjunto de dados estimados utilizando-se dos pontos amostrados de coleta da informação, em que as coordenadas geográficas ou locais representaram a posição dos pontos.
A importância do semivariograma está na identificação da variabilidade espacial.
A hipótese básica sob a qual a geoestatística se baseia é que dados vizinhos são mais parecidos que dados distantes. O semivariograma é um “medidor” do grau de semelhança entre vizinhos. Ele pode ser estimado pela Equação 1:

onde N(h) é o número de pares de valores medidos Z(xi), Z(xi+h), separados por um vetor h. Para que a variável avaliada tenha dependência espacial é necessário que o semivariograma seja crescente com a distância.
Além disso, é exigido que a hipótese intrínseca seja válida ou seja, que o semivariograma, após ter um aumento com a distância, se estabilize no valor da variância dos dados. A maneira como o semivariograma cresce com a distância até o alcance é que define o comportamento espacial da variável estudada (VIEIRA, 2000).
Os parâmetros C0, C1 e a são, respectivamente, o efeito pepita, a variância estrutural e o alcance e são usados para ajustar o modelo ao semivariograma. Gráfico do semivariograma é uma série de pontos discretos para a qual, uma função contínua deve ser ajustada.
Ajuste de modelo ao semivariograma é um dos aspectos mais importantes das aplicações da geoestatística porque os cálculos de geoestatística dependem do valor do modelo do semivariograma para cada distância especificada. Ajuste por métodos automáticos, embora possa ser usado, não é o mais adequado.
Alguns coeficientes, como o coeficiente de correlação, a raiz quadrada do erro médio (RMSE) e o índice de Akaike (IAC) podem auxiliar na validação do modelo escolhido e dos parâmetros para o ajuste do semivariograma.
Segundo Vieira et al. (2000), uma poderosa ferramenta de validação é o método “jack-knifing” que calcula os parâmetros do erro absoluto e reduzido da estimativa, tornando-a valiosa. Além disso indica qual a vizinhança ideal para a estimativa.
McBratney e Webster (1986) indicam que os modelos mais adequados para os mais variados tipos de situações, na maioria dos casos, serão esférico, exponencial ou gaussiano. A Figura 4 mostra o comportamento destes três modelos.

O que recomendam Vieira, Carvalho e Paz Gonzalez (2010) é que o usuário escolha um destes três modelos segundo o comportamento de seus semivariogramas para pequenas distâncias (menor do que o alcance), faça o ajuste usando algum método de otimização dos parâmetros C0, C1 e a, e submeta este modelo ao processo da validação pelo “jack knifing”.
Este método, embora trabalhoso, irá eliminar qualquer possibilidade de ajuste inadequado porque os resultados estarão dentro de alguns padrões estatísticos.
Nota-se na Figura 4 que os comportamentos destes três modelos antes do alcance são totalmente distintos.
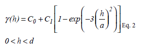
O modelo gaussiano definido pela Equação 2, é o que representa os processos mais contínuos que se tem conhecimento, tem um crescimento bastante lento no início e tem um ponto de inflexão antes do alcance. Os dados mais comuns de ocorrência de modelo gaussiano são cotas topográficas.

Onde C0, C1 e a são os parâmetros de ajuste, h a distância e γ (h) o valor da semivariância para o modelo de ajuste.
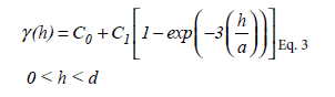
O modelo exponencial é o que representa processos que tem a maior perda de semelhança com a distância. Dados de precipitação pluviométrica normalmente são ajustados por este modelo. Atinge o patamar exponencialmente, por isso possui apenas uma estrutura onde d é a máxima distância na qual o semivariograma é definido (Equação 3).

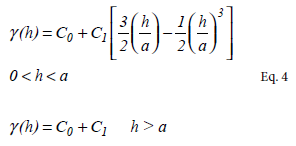
O modelo esférico cresce aproximadamente entre o gaussiano e o exponencial e é o modelo que mais ocorre. Possui duas estruturas, uma com a distância entre zero e o alcance e outra maior do que o alcance, onde atinge o patamar. O modelo esférico é linear até aproximadamente 1/3 do alcance (Equação 4).

Após o ajuste do semivariograma e a obtenção dos parâmetros de ajuste Zimback (2001) estabeleceu uma relação entre o patamar e o efeito pepita em que indica o Grau de Dependência (GD) espacial (se fraco <25%, moderado >25% até 75%, forte > 75%) pode ser calculado seguindo a Equação 5:

Em agricultura de precisão, o grau de intensidade da variabilidade espacial pode ser relacionado com a viabilidade estratégica e operacional do manejo da produção por manejo localizado (PRINGLE et al., 2003).
Neste sentido, a utilização de parâmetros obtidos durante o ajuste dos semivariogramas serve como componente no desenvolvimento de modelos simplificados que possam indicar quantitativamente a oportunidade de adoção da agricultura de precisão como função da variabilidade espacial das variáveis que orientam o manejo da produção (PRINGLE et al., 2003).
Outro resultado relevante no uso do semivariograma ajustado com alta densidade de dados baseia-se nas funções de covariância que mais comumente melhor ajustaram os semivariogramas para fins de mensuração da estrutura de variação espacial das variáveis de produção. Este fato reforça a adoção desta tecnologia, em detrimento das práticas usualmente propostas pelos prestadores de serviço de agricultura de precisão.
4. A interpolação dos dados em geoestatística
A krigagem é um estimador geoestatístico e esta denominação foi realizada por Matheron em homenagem aos trabalhos pioneiros de Daniel Krige na década de 50 (SOARES, 2006).
O objetivo da interpolação por krigagem é estimar valores para qualquer local e a estimativa será uma combinação linear de valores medidos. Havendo comprovadamente dependência espacial para a variável em estudo, por meio do ajuste de semivariograma, pode-se interpolar valores em qualquer posição no campo de estudo, sem tendência, na média não deve super nem sub estimar valores, e com variância mínima, ou seja, a incerteza na estimativa tem que ser mínima.
Na figura 5 são mostrados exemplos de ajuste de semivariograma e a construção do mapa para dados de produção de cana-de-açúcar.

Segundo Vieira (2000), existem interpoladores que não consideram a dependência espacial, como inverso do quadrado da distância, média móvel ponderada e outros que interpolam por meio de ajuste por polinômios bidimensionais.
Entretanto, estes interpoladores não consideram a estrutura da variação espacial dos valores medidos revelado pelo semivariograma, e, portanto, não determinam com exatidão a variação dos dados interpolados.
Na krigagem os pesos dados às amostras vizinhas são determinados a partir da análise espacial, baseada no semivariograma experimental.
Ou seja, através da krigagem é possível calcular um valor de uma dada propriedade para cada centro da célula de uma malha tridimensional, valor este condicionado aos dados existentes e a uma função de correlação espacial entre estes dados.
Segundo Soares (2006) o algoritmo mais usual de krigagem é a krigagem ordinária, onde não há necessidade de se conhecer o valor da média, isto é, o valor da média é constante, mas desconhecida. Já na krigagem simples, há necessidade de se conhecer o valor da média, ou seja, ela é conhecida.
Após a interpolação por krigagem, os resultados são submetidos a espacialização resultando em mapas de isolinhas, geralmente em ambientes de sistema de informação geográfica, onde outras bases podem ser visualizadas e agrupadas (imagem de satélite e mapas de relevo, hidrografia, entre outras), como feito para o plano de amostragem de solo em área de vinhedo por Valladares et al. (2009).
No exemplo da Figura 6 pode-se visualizar uma sobreposição de mapas para uma mesma área, onde o mapa base foi gerado a partir de dados espacializados de cotas topográficas (m) e o sobreposto, de condutividade elétrica do solo obtida com o sensor Veris (0-30 cm).

Verifica-se que houve uma correlação entre eles, sendo que na parte de menor cota foi também o local onde houve menor condutividade elétrica do solo.
A interpretação dos mapas precisos derivados da interpolação de dados por krigagem permite ao interessado identificar as regiões no campo onde o fenômeno estudado é mais uniforme do que em outras.
Dessa forma, a utilização das tecnologias como a Geoestatística permite amparar tecnicamente decisões estratégicas e complexas em relação ao sistema de manejo adotado, seus efeitos ambientais e na produtividade das diferentes culturas.
Essa é a contribuição da geoestatística para o desenvolvimento de uma produção agrícola sustentável em agricultura de precisão.
5. Considerações finais
Em agricultura de precisão, a possibilidade de gerar mapas relacionados aos sistemas de produção agrícola, tem permitido a identificação de zonas homogêneas e consequentemente a aplicação de insumos e manejos localizados, auxiliando a tomada de decisão por parte do produtor.
Contudo, isto só é possível considerando a variabilidade espacial dos fatores envolvidos e a geoestatística é sabidamente uma ótima ferramenta para este fim.
A técnica de geoestatística requer amostragens suficientemente próximas para conseguir caracterizar as possíveis manchas de variabilidade, o que pode inviabilizar a implantação do processo devido ao alto custo para aquisição deste grande número de dados sem um efetivo planejamento.
Por isso, antes de se decidir obter os dados a campo deve-se buscar informações que possam direcionar para o adequado número de amostras, tais como buscando os dados auxiliares como os obtidos por sensores, uma realidade em agricultura de precisão, as informações históricas da área e as imagens de satélite ou fotografias aéreas com as quais se possa identificar previamente regiões com menor e maior variação a determinada característica de interesse.
Assim, é possível realizar uma amostragem inteligente, concentrando nas regiões onde exista maior variação e diminuindo-se a densidade nos locais mais uniformes.
Por fim, a análise geoestatística fornecerá resultados na forma de mapas precisos com base na dependência espacial identificada nos processos da análise.
Dessa forma, a geoestatística auxilia fortemente nas decisões estratégicas e complexas em relação ao gerenciamento do sistema de produção agrícola e consequentemente nos seus efeitos ambientais, contribuindo para o desenvolvimento sustentável em agricultura de precisão.
Se você tem interesse em saber mais sobre a Agricultura de Precisão, te convido a conhecer a plataforma da AgricOnline. Ao fazer a sua assinatura, você tem acesso ilimitado a todos os cursos da plataforma. São cursos que vão desde produção vegetal, produção animal, mercado e carreira.
Ao término de cada curso, você tem direito ao certificado com a carga horária de cada curso, clique no link para conhecer.

Ou clique no link:
https://go.agriconline.com.br/pass/?sck=portal
Fonte
BERNARDI, Alberto Carlos de Campos; NAIME, João de Mendonça; DE RESENDE, Álvaro Vilela; BASSOI, Luís Henrique; INAMASU, Ricardo Yassushi. Agricultura de Precisão: resultados de um novo olhar. 1ª ed. Brasília - DF: EMBRAPA, 2014.