Calagem em Covas e Sulcos: Guia Prático para Produtores Rurais
A calagem é uma prática essencial para corrigir a acidez do solo e garantir condições adequadas para o desenvolvimento das plantas. Seja no preparo de covas ou em sulcos, a correta aplicação do calcário pode melhorar a disponibilidade de nutrientes, neutralizar o alumínio tóxico e promover maior eficiência na absorção de fertilizantes. Este artigo, baseado em estudos da Embrapa e Incaper, apresenta um guia prático para calcular e aplicar o calcário de forma eficiente.
Por que realizar a calagem?
A acidez do solo pode limitar o crescimento das plantas e comprometer a produtividade. A aplicação de calcário ajusta o pH, proporcionando um ambiente mais favorável ao desenvolvimento das culturas, especialmente em solos tropicais, que frequentemente apresentam níveis elevados de acidez.
Cálculo da calagem em covas e sulcos
A quantidade de calcário a ser aplicada depende de fatores como a necessidade de calagem (NC), a profundidade de incorporação (PF), o volume das covas ou sulcos (Volc), e o Poder Relativo de Neutralização Total (PRNT) do calcário. Confira as fórmulas e explicações abaixo:
1. Cálculo geral para o solo (superfície e incorporação)
Para aplicações em área total ou cobertura, utiliza-se a fórmula:

Onde:
- QC = Quantidade de calcário a ser aplicada (t/ha);
- NC = Necessidade de calagem (t/ha), definida por análise de solo;
- SC = Superfície a ser coberta pelo calcário (%);
- PF = Profundidade efetiva de incorporação (cm);
- PRNT = Poder Relativo de Neutralização Total do calcário (%).
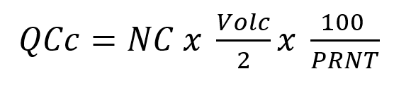
2. Calagem em covas
Para corrigir a acidez localmente em covas de plantio, a fórmula a ser usada é:

Onde:
- QCc = Quantidade de calcário na cova (g/cova);
- Volc = Volume da cova (dm³).
Exemplo prático:
Se a necessidade de calagem (NC) é de 3 t/ha, o PRNT do calcário é de 100%, e o volume da cova é de 64 dm³ (40 cm x 40 cm x 40 cm):

Vídeo aula:
3. Calagem em sulcos
Para aplicações em sulcos, basta multiplicar o valor calculado para a cova (QCc) por 2,5.
A fórmula final fica: QCs = QCc × 2,5 =
Onde:
- QCs = Quantidade de calcário por metro de sulco (g/m).
Exemplo prático:
Com QCc = 96 g/cova, o valor para sulcos será:
QCs = 96 × 2,5 = 240 g/m.
Recomendações práticas
- Análise do solo: Realize uma análise de solo para determinar a necessidade de calagem (NC).
- Escolha do calcário: Utilize calcário com alto PRNT (acima de 90%) para maior eficiência.
- Distribuição e incorporação: A aplicação em área total exige incorporação mecânica, enquanto em covas ou sulcos, o calcário deve ser bem distribuído e misturado ao solo.
- Tempo de ação: A calagem deve ser feita pelo menos 60 dias antes do plantio para permitir a reação química no solo.
Veja também: A Ocorrência de Solos Ácidos e a Prática da Calagem
Conclusão
A calagem é uma ferramenta indispensável para o manejo da fertilidade do solo. Utilizar os cálculos corretos e seguir as recomendações técnicas pode aumentar significativamente a eficiência do uso do calcário e, consequentemente, a produtividade das culturas.
Produtores que aplicam calagem em covas ou sulcos de forma planejada e baseada em dados técnicos garantem melhores condições para o desenvolvimento de suas plantas, otimizando custos e resultados no campo.
Referências
- Alvarez V., V. H. e Ribeiro, A. C. (1999). Recomendação para o uso de corretivos e fertilizantes em Minas Gerais: 5ª Aproximação. Comissão de Fertilidade do Solo do Estado de Minas Gerais.
- EMBRAPA – Empresa Brasileira de Pesquisa Agropecuária. Publicações Técnicas e Comunicações sobre Fertilidade do Solo. Disponível em: www.embrapa.br.
- INCAPER – Instituto Capixaba de Pesquisa, Assistência Técnica e Extensão Rural. Boletins Técnicos e Manuais de Fertilidade. Disponível em: www.incaper.es.gov.br.