Aplicar Calcário e Adubar em Seguida: É Possível?
Uma dúvida comum entre os produtores é se é viável aplicar calcário e adubar logo em seguida. Este é um tema que gera muitas discussões e, para esclarecer, vamos explorar as nuances dessa prática no contexto da agricultura, considerando fatores como o tipo de solo, a cultura em questão e as práticas de manejo. Aqui, vamos abordar as situações que precisam ser analisadas para garantir uma aplicação eficiente de calcário e fertilizantes.
Qual o Papel do Calcário?
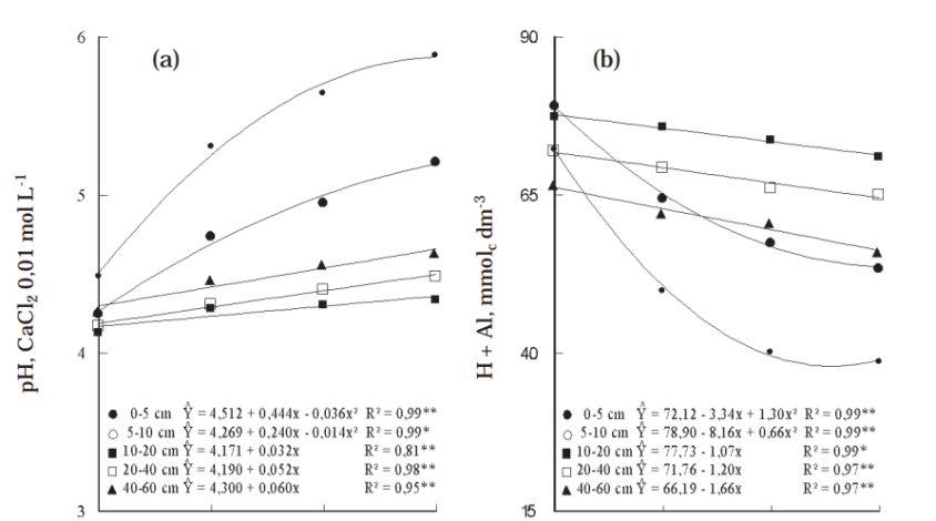
O calcário é utilizado na agricultura para corrigir a acidez do solo, pois, em contato com partes acidas do solo, junto com a água, ele eleva o pH e melhorando a quantidade de bases (cálcio e magnésio), aumentando a saturação de bases (Figura 01).


superfície. Pontos são médias de cinco amostragens de solo e três repetições. ** Significativo P < 0,01
e *significativo P < 0,05.
A aplicação de calcário, no entanto, não é uma solução instantânea; ela requer um tempo de reação que pode variar entre 45 a 90 dias, dependendo do PRNT (Potencial de Reatividade do Calcário). Isso significa que, ao aplicar calcário, você não verá resultados imediatos, pois a reação do calcário necessita de água e tempo para ocorrer.
Importância da Água
A água é fundamental para a reação do calcário. Por exemplo, se você aplicou calcário e, em seguida, teve uma chuva de 40 mm, isso é positivo, pois a umidade ajudará na correção do solo.
Sem água, o calcário não reage, e portanto, a correção do pH não será efetiva. Assim, a umidade do solo é uma condição essencial para o sucesso da aplicação de calcário.
Aplicação de Fertilizantes: Quando é o Ideal?
A literatura técnica geralmente recomenda que a adubação seja feita após um período de espera de 45 a 90 dias após a aplicação de calcário.
Isso se deve ao fato de que, no momento do plantio, a disponibilidade de nutrientes, especialmente o fósforo, pode ser afetada se o solo estiver muito ácido. O fósforo é um nutriente crítico que, em solos ácidos, pode sofrer perdas significativas por fixação.
Veja também: Quais as funções do fósforo para as plantas
Calcário e a Cultura do Café
No caso específico do café, que é uma cultura perene e frequentemente irrigada, a situação muda um pouco. Se você já tem a cultura implantada e está pensando em fazer uma adubação de cobertura, a necessidade de esperar pode ser menos rigorosa. Isso porque, em sistemas de fertirrigação, a adubação pode ser feita diretamente na cobertura, onde os nutrientes são aplicados de forma mais eficiente.
Aplicação Superficial de Calcário
Um ponto importante a considerar é que, se o calcário foi aplicado de forma superficial e não incorporado ao solo, a correção do pH será mais lenta e limitada às camadas superiores do solo.
Isso significa que, se o solo já apresenta um pH levemente ácido (por exemplo, entre 5.7 e 5.8), pode não haver problemas significativos em aplicar a adubação logo em seguida.
Contudo, autores como Caires et al. (2006), mostraram que a aplicação superficial de calcário é uma prática viável e eficaz em sistemas de plantio direto, especialmente em solos bem drenados e com boa umidade. A água é o principal agente que permite a movimentação do calcário e sua ação em profundidade, corrigindo a acidez e melhorando a fertilidade do solo. O uso combinado com gesso agrícola pode potencializar os benefícios da calagem.
Quando Esperar Para Adubar
Se o solo estiver muito ácido, é aconselhável esperar mais tempo antes de aplicar fertilizantes. A aplicação de calcário deve ser feita de forma eficaz, e em alguns casos, a inclusão de gesso pode ser necessária, especialmente se houver problemas com a saturação de alumínio nas camadas mais profundas do solo.
Adubação em Cobertura
Ao considerar a adubação em cobertura, é importante entender que o timing de reação do fertilizante é diferente do calcário. Fertilizantes solúveis reagem rapidamente, enquanto o calcário pode levar tempo para mostrar resultados. Portanto, se a adubação for feita logo após a aplicação de calcário em um solo levemente ácido, as perdas podem ser controláveis.
Conclusão: O Que Fazer?
Não existe uma resposta única para a pergunta sobre a aplicação simultânea de calcário e adubação. A decisão deve ser baseada em uma análise cuidadosa do contexto do solo e das necessidades da cultura. Se o solo está levemente ácido e a aplicação de adubação não causará perdas significativas, pode ser seguro proceder. No entanto, se o solo é muito ácido, é melhor aguardar e garantir uma correção adequada antes de aplicar fertilizantes.
Adaptando o Real ao Ideal
Na agricultura, muitas vezes enfrentamos situações em que o que é ideal não é viável. É importante adaptar as práticas às condições reais do campo, considerando sempre os potenciais prejuízos. Portanto, ao planejar suas aplicações, leve em conta o estado atual do solo, a cultura em questão e as previsões climáticas.
Aprenda Mais Sobre Fertilidade do Solo
Se você deseja aprofundar seus conhecimentos sobre fertilidade do solo, nutrição de plantas e manejo agrícola, considere se inscrever na plataforma da Agriconline.
Com acesso a mais de 70 cursos e atualizações mensais, você pode aprender com especialistas e tirar suas dúvidas diretamente com os professores. Não perca a oportunidade de aprimorar suas habilidades e otimizar sua produção agrícola!
REFERÊNCIAS
CAIRES, E. F. et al. Liming effects on soil pH and base saturation in subtropical soils. Soil Science Society of America Journal, Madison, v. 72, n. 1, p. 1-10, 2008. Disponível em: https://doi.org/10.2136/sssaj2007.0125.